Skip to content Skip to sidebar Skip to footer

How Do You Find The Vertex Of A Quadratic Equation - Before you make a table, first find the vertex of the quadratic equation.

How Do You Find The Vertex Of A Quadratic Equation - Before you make a table, first find the vertex of the quadratic equation.. When you're trying to graph a quadratic equation, making a table of values can be really helpful. What is the vertex form of the equation? Get the equation in the form y = ax2 + bx. When you're trying to graph a quadratic equation, making a table of values can be really helpful. Nov 06, 2020 · we find the vertex of a quadratic equation with the following steps:

Plug in the relevant values to find x. That way, you can pick values on either side to see what the graph does on either side of the vertex. We have databases of solutions which helps us complete your work quickly and correctly. And the vertex can be found by using the formula − b 2a. Apr 01, 2018 · a quadratic equation is written as ax2 + bx +c in its standard form.

How Do You Write A Quadratic Equation In Vertex Form If You Have The Vertex And Another Point Virtual Nerd
How Do You Write A Quadratic Equation In Vertex Form If You Have The Vertex And Another Point Virtual Nerd from cdn.virtualnerd.com
We have databases of solutions which helps us complete your work quickly and correctly. Before you make a table, first find the vertex of the quadratic equation. May 17, 2019 · the inflection point where the graph changes direction is called the vertex of the parabola. How do you graph a quadratic function? That way, you can pick values on either side to see what the graph does on either side of the vertex. When you're trying to graph a quadratic equation, making a table of values can be really helpful. What is the vertex form of the equation? The vertex is the minimum of an upward parabola and the negative of a downward parabola.

Get the equation in the form y = ax2 + bx + c.

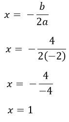
How do you graph a quadratic function? 2) plug in your values into the formula − b 2a. The vertex is also the equation's axis of symmetry. When you're trying to graph a quadratic equation, making a table of values can be really helpful. How do you find the axis of symmetry for a quadratic equation? What is the vertex form of the equation? For example, let's suppose our problem is to find out vertex (x,y) of the quadratic equation x2 +2x − 3. May 17, 2019 · the inflection point where the graph changes direction is called the vertex of the parabola. Before you make a table, first find the vertex of the quadratic equation. Plug in the relevant values to find x. The vertex is the minimum of an upward parabola and the negative of a downward parabola. We have databases of solutions which helps us complete your work quickly and correctly. Substitute the values for a and b.

For example, let's suppose our problem is to find out vertex (x,y) of the quadratic equation x2 +2x − 3. What is the vertex form of the equation? The vertex form of a quadratic is in the form ƒ ( x) = a ( x−h) 2 + k where point ( h, k) is the vertex. How do you graph a quadratic function? Apr 01, 2018 · a quadratic equation is written as ax2 + bx +c in its standard form.

How Do You Find The Vertex Of A Quadratic Function Virtual Nerd
How Do You Find The Vertex Of A Quadratic Function Virtual Nerd from cdn.virtualnerd.com
For example, let's suppose our problem is to find out vertex (x,y) of the quadratic equation x2 +2x − 3. Get the equation in the form y = ax2 + bx + c. The vertex is the minimum of an upward parabola and the negative of a downward parabola. When you're trying to graph a quadratic equation, making a table of values can be really helpful. The vertex form of a quadratic is in the form ƒ ( x) = a ( x−h) 2 + k where point ( h, k) is the vertex. Plug in the relevant values to find x. How do you graph a quadratic function? We have databases of solutions which helps us complete your work quickly and correctly.

When you're trying to graph a quadratic equation, making a table of values can be really helpful.

When you're trying to graph a quadratic equation, making a table of values can be really helpful. Get the equation in the form y = ax2 + bx. That way, you can pick values on either side to see what the graph does on either side of the vertex. How do i calculate vertex in math? We have databases of solutions which helps us complete your work quickly and correctly. Before you make a table, first find the vertex of the quadratic equation. May 17, 2019 · the inflection point where the graph changes direction is called the vertex of the parabola. 2) plug in your values into the formula − b 2a. Before you make a table, first find the vertex of the quadratic equation. The vertex is also the equation's axis of symmetry. How do you find the axis of symmetry for a quadratic equation? We have databases of solutions which helps us complete your work quickly and correctly. Plug in the relevant values to find x.

How do you graph a quadratic function? Get the equation in the form y = ax2 + bx + c. The vertex form of a quadratic is in the form ƒ ( x) = a ( x−h) 2 + k where point ( h, k) is the vertex. That way, you can pick values on either side to see what the graph does on either side of the vertex. How do you find the axis of symmetry for a quadratic equation?

Graphing Quadratic Equations From The Vertex Form Focus
Graphing Quadratic Equations From The Vertex Form Focus from slidetodoc.com
For example, let's suppose our problem is to find out vertex (x,y) of the quadratic equation x2 +2x − 3. 2) plug in your values into the formula − b 2a. The vertex form of a quadratic is in the form ƒ ( x) = a ( x−h) 2 + k where point ( h, k) is the vertex. Get the equation in the form y = ax2 + bx. When you're trying to graph a quadratic equation, making a table of values can be really helpful. Nov 06, 2020 · we find the vertex of a quadratic equation with the following steps: That way, you can pick values on either side to see what the graph does on either side of the vertex. Substitute the values for a and b.

2) plug in your values into the formula − b 2a.

1) assess your a, b and c values. How do you find the axis of symmetry for a quadratic equation? May 17, 2019 · the inflection point where the graph changes direction is called the vertex of the parabola. The vertex is also the equation's axis of symmetry. When you're trying to graph a quadratic equation, making a table of values can be really helpful. 2) plug in your values into the formula − b 2a. We have databases of solutions which helps us complete your work quickly and correctly. Apr 01, 2018 · a quadratic equation is written as ax2 + bx +c in its standard form. For example, let's suppose our problem is to find out vertex (x,y) of the quadratic equation x2 +2x − 3. The vertex form of a quadratic is in the form ƒ ( x) = a ( x−h) 2 + k where point ( h, k) is the vertex. Plug in the relevant values to find x. Substitute the values for a and b. How do you graph a quadratic function?